
Calum Robertson
Économiste
À Propos
Ma recherche valorise les données massives à l'aide d'outils statistiques et les communique afin d'informer la décision. J'ai à cœur de contribuer au développement de territoires socialement, écologiquement et économiquement durables.
Tableaux de bord interactifs


Recherche & Publications
Location courte durée et changement urbain : Une approche systémique et empirique
Résumé
Cette thèse adopte des méthodes innovantes pour analyser les espaces urbains et les transformations qu'ils subissent. Le premier chapitre fait le constat de la difficulté régulatoire face aux plateformes de location courte durée. Le second chapitre se base sur un référentiel évolutionniste pour proposer les fondements théoriques et pratiques d'une nouvelle manière de mesurer les transformations urbaines se basant sur la localisation des commerces. Le troisième propose une application de cette mesure dans le cadre parisien, et apporte des élements interprétatifs à l'indicateur. Le dernier chapitre applique cette nouvelle mesure aux onze plus grandes villes française. Il s'en sert pour mettre en lien les locations courte durée avec l'homogénéisation de l'offre commerciale.
Lire le contenu
Measuring gentrification through commercial amenities: The case of Paris
Résumé
Comprendre la gentrification urbaine est un défi majeur pour la planification durable et la lutte contre les inégalités. Les changements dans les quartiers sont globaux et résultent d'une multitude de facteurs différents. Nous présentons ici une mesure originale pour relever le défi de déchiffrer ces changements : l'indice de configuration des équipements (ACI). Cette méthodologie agnostique et fondée sur la donnée classe les quartiers en fonction de leurs équipements commerciaux. Nous appliquons cet indice à Paris de 2014 à 2023 et affirmons que nous localisons les consommateurs ayant des niveaux de dépenses différenciés par procuration. Nous montrons que notre indice est étroitement lié aux conditions socio-économiques locales et reflète les réalités parisiennes connues. Notre approche fournit un outil évolutif et en temps quasi réel pour surveiller la dynamique urbaine et permet une approche adaptée à la question globale de la gentrification.
Lire le contenu
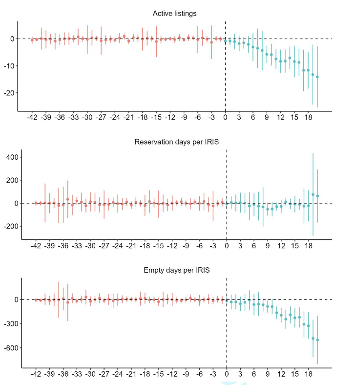
Licence to chill? How enforcement of mandatory registration shapes short-term rental markets in France
Résumé
Cette étude examine l'impact des réglementations en matière d'enregistrement obligatoire sur les marchés de la location courte durée (LCD) en France, en se concentrant sur Airbnb. À l'aide d'une méthodologie de Diff-in-diff échelonnée et de données couvrant la période 2019-2023, nous révélons que l'enregistrement obligatoire et la conformité des plateformes réduisent le nombre d'annonces LCD actives, mais n'ont pas d'impact significatif sur le nombre total de jours de réservation. Nos recherches suggèrent une réduction de l'offre excédentaire sur le marché qui n'a pas affecté la demande et a conduit à une concentration accrue de l'activité de LCD par annonce. Les hôtes agréés ont consolidé leur pouvoir de marché et étendu leur activité, tandis que les mesures réglementaires ont orienté une partie de l'activité vers les locations à moyen terme. Les résultats soulignent les défis liés à l'équilibre du paysage LCD en pleine évolution.
Lire le contenu
“Airbnb in the City”: assessing short-term rental regulation in Bordeaux
Résumé
Les plateformes de location à court terme, Airbnb en tête, ont bouleversé le secteur de l'hébergement touristique au cours de la dernière décennie. Cette disruption a incité les décideurs politiques à intervenir. Cependant, on sait peu de choses sur l'efficacité de ces interventions. Cet article évalue de manière empirique l'impact de la réglementation de Bordeaux sur l'activité de location à court terme (LCT) à l'aide d'une méthode de différences par différences et d'une méthode à triple différences. Nous constatons que la réglementation a eu un effet réducteur de plus de 322 jours de location par mois et par quartier en moyenne. Cela équivaut à 44 % du nombre moyen de jours de réservation et à plus de 28 000 nuitées en moins par mois dans les STR de la ville. Cet effet est persistant dans les zones périphériques de la ville, avec un effet moyen de 35 % sur le nombre de jours de réservation mensuels. Cependant, les tentatives de la ville pour limiter l'activité provenant des annonces ciblées (commerciales) donnent des résultats mitigés, car les annonces non ciblées (partage de logement) semblent également avoir modifié leur comportement. En outre, l'analyse de la périphérie ouvre la voie à une discussion sur l'efficacité d'une conception uniforme de la politique en matière de STR.
Lire le contenu
Moins d'appartements sur Airbnb, mais autant de touristes : la situation bénéficie aux hôtes déjà les mieux installés
Résumé
Dans une tribune au « Monde », trois chercheurs spécialistes du logement exposent les conséquences des lois de régulation sur les locations de meublés touristiques. Ils réclament des moyens de contrôle, un accès aux données et une politique différenciée.
Lire le contenu